Home
›
JEE MAIN
›
Chemistry
›
Aldehydes, Ketones and Carboxylic Acids
›
Carboxylic Acids and Their Derivatives
Carboxylic Acids and Their Derivatives
JEE MAIN • Chemistry • Aldehydes, Ketones and Carboxylic Acids
Showing 10 of 157 questions
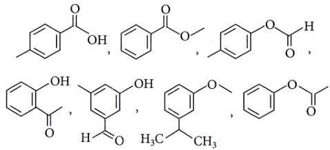
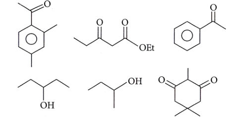
Q1
Numeric
Hard
Enter your answer:
Check Answer
Source: PYQ
Q2
Numeric
Medium
Enter your answer:
Check Answer
Source: PYQ
Q3
Numeric
Medium
Enter your answer:
Check Answer
Source: PYQ
Q4
Numeric
Medium
Enter your answer:
Check Answer
Source: PYQ
Q5
Numeric
Hard
Enter your answer:
Check Answer
Source: PYQ
Q6
Numeric
Medium
Enter your answer:
Check Answer
Source: PYQ
Q7
Numeric
Medium
Enter your answer:
Check Answer
Source: PYQ
Q8
Numeric
Medium
Enter your answer:
Check Answer
Source: PYQ
Q9
Numeric
Medium
Enter your answer:
Check Answer
Source: PYQ
Q10
MCQ
Medium
A
B
C
D
Check Answer
Source: PYQ
← Prev
1
2
3
4
...
16
Next →
1–10 of 157